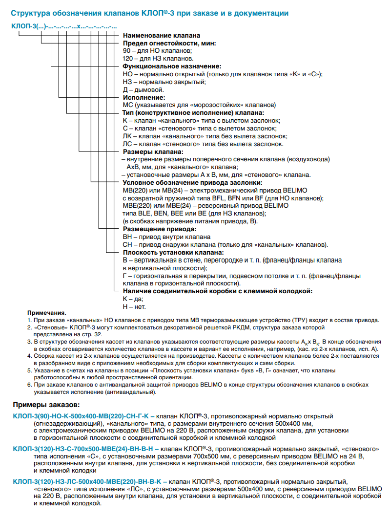
Клапан огнезадерживающий КЛОП-3-ЛC (120) 1400x400 – это конструкция, выполненная в нормально закрытом варианте. Корпус устройства производится из стали с оцинковкой.
Общие характеристики КЛОП-3-ЛС (120)
НЗ (нормально закрытые) противопожарные агрегаты оснащаются приводом Belimo реверсивного типа. Клапаны имеют заслонки с теплоизолирующей прослойкой. При открытии вылет заслонок гораздо меньше, чем в моделях серии КЛАД-2 или КЛАД-3.
Для установки на наружной стене здания допустимо применять модели в морозостойком исполнении. При этом крепление клапана устанавливается со стороны помещения. Необходимо обеспечить достаточную степень утепления, чтобы не допустить выпадение конденсата.
Со стороны улицы нужно создать качественную защиту в виде решетки, чтобы предотвратить негативное влияние солнца и атмосферных осадков. Допустим монтаж в любом положении.
Отличительные качества
Для моделей КЛОП-3-C характерны следующие особенности:
- Возможность применения внутри здания или на границе помещение/улица.
- Время работы в случае возникновения пожара составляет 120 минут.
- Оснащение приводом Belimo.
- Отсутствует вылет заслонок.
- Ширина корпуса всего 160 мм.
- Возможность установки в горизонтальной или вертикальной ориентации.
Техническое описание
При возникновении вопросов или необходимости в помощи при оформлении заказа на противопожарный клапан КЛОП-3-ЛC (120) можно обратиться к менеджеру. Связь с консультантом осуществляется по телефону, электронной почте или через форму обратной связи. Также можно заказать обратный звонок.
